科研进展
西北研究院在土长城遗址侵蚀方面研究取得新进展
万里长城是我国古代劳动人民创造的伟大奇迹,是中国悠久历史的见证。作为世界文化遗产,具有重要的历史、文化和科学价值。
现存长城主要沿北方农牧交错带分布,大多由夯土建造而成,在严酷气候条件影响下,土长城极易遭受风蚀、水蚀、盐害和冻融侵蚀。如何减缓自然外力对长城本体的破坏成为影响长城长期保存和永续利用的关键。
目前,国际上虽已有利用植物对土遗址进行加固或修复的研究,但缺乏深层机理方面的探究。
地处我国半湿润区的甘肃省渭源县境内的秦长城遗址,修筑于战国时期,是中国最古老的长城地段之一,其墙体表面附生着大量维管束植物和生物结皮,但对于这些维管束植物和生物结皮能否对土长城本体起到防护作用还不明确。
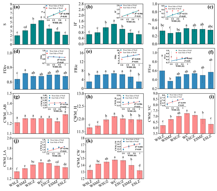
中国科学院西北生态环境资源研究院宁夏沙坡头沙漠生态系统国家野外科学观测研究站贾荣亮研究员研究组联合敦煌研究院科研团队,以战国秦长城渭源段为研究对象,对长城本体附生的维管束植物和生物结皮分布格局及协同减缓长城土体抗侵蚀中的作用进行了探索性研究。科研人员对土长城遗址的7个不同微空间部位(顶部、东西两侧墙体1/4高、1/2高和3/4高)的维管束植物群落及其功能组成(包括物种多样性、功能多样性和群落加权平均)、生物结皮类型和盖度以及墙体遭受侵蚀程度进行了定量分析,并结合线性回归、随机森林和结构方程模型,评估了它们对土壤侵蚀的单一、联合作用,以及作用方向和相对重要性。
研究发现,维管束植物物种丰富度、物种多样性、功能丰富度、群落加权平均和苔藓结皮盖度由土长城遗址顶部向下部显著降低,且与土长城两侧土体侵蚀程度呈负相关(图1),表明土长城本体较高的区域有利于维管束植物和生物结皮的定殖和生长。同时,维管束植物和生物结皮的协同作用能有效缓解遗址本体遭受风雨侵蚀(图2)。基于此,研究人员提出了基于生物结皮和维管束植物群落构建目标物种选择、植物群落构建、生物结皮接种和维持群落稳定等增强土长城抗侵蚀的“修复框架”(图3),为土长城遗址本体侵蚀防治提供了新思路。
该成果以Vascular plant communities and biocrusts act as controlling factors in mitigating soil erosion on the Great Wall in a semi-humid area of Northwestern China 为题,发表于Science of the Total Environment期刊上。
西北研究院2022级博士生刘彦平为本文第一作者,西北研究院贾荣亮研究员和敦煌研究院汪万福研究员为通讯作者。该研究得到国家自然科学基金项目和甘肃省自然科学基金项目资助。

图1 长城遗址不同微空间位置物种丰富度(a)、物种多样性(b)、物种均匀度(c)、功能均匀度(d)、功能分化度(e)、功能丰富度(f)、群落加权平均_生物量(CWM_AB,g)、群落加权平均_株高(CWM_H,h)、群落加权平均_盖度(CWM_VC,i)、群落加权平均_叶面积(CWM_LA,j)、群落加权平均_冠幅(CWM_CW,k)变化情况.
注:WSLZ、WSMZ、WSUZ、WC、ESUZ、ESMZ和ESLZ分别代表长城西侧墙体1/4高、长城西侧墙体1/2高、长城西侧墙体3/4高、长城顶部、长城东侧墙体3/4高、长城东侧墙体1/2高、长城东侧墙体1/4高;插入的子图为维管束植物各指标与长城相对高度的线性回归分析.

图2 维管束植物和生物结皮减缓长城遗址土壤侵蚀的概念模型

图3 基于生物结皮和维管植物群落构建减缓长城遗址土壤侵蚀的修复框架
论文链接:https://doi.org/10.1016/j.scitotenv.2024.170515




