科研进展
动物生态与资源保护研究团队在野生动物濒危程度与肠道微生物依赖性关系研究中取得新进展
肠道微生物以其高度多样性和关键生态功能而备受关注,对宿主适应环境变化具有重要作用。近期一项跨越7纲、452个物种的大尺度脊椎动物肠道微生物研究发现,在影响野生脊椎动物肠道微生物多样性的多个因素中,宿主的濒危程度是主要因素之一。这引发了一个关键科学问题:濒危程度更高的物种是否更加依赖肠道微生物所提供的“生态系统服务”,以增强其应对环境变化的能力。
为阐明宿主濒危程度与肠道微生物依赖性之间的关系,中国科学院西北高原生物研究所动物生态与资源保护研究团队以藏原羚(近危)和普氏原羚(濒危)为研究对象,通过16S rRNA扩增子测序技术进行高通量测序,深入探究了这两个物种在相同和不同环境条件下的肠道微生物多样性和组成,群落组装机制以及预测功能的变化。研究结果表明,相较于异域分布的种群,同域分布的藏原羚和普氏原羚种群的肠道微生物多样性和组成并未因共享相同环境而呈现显著的趋同。进一步分析发现,藏原羚和普氏原羚肠道微生物与宿主外部环境变化的关系存在明显的区别,濒危等级更高的普氏原羚肠道微生物群落结构变异与环境条件的改变显著相关,而在濒危等级较低的藏原羚中,这种相关性则不显著。利用iCAMP对两物种肠道微生物群落的组装过程进行定量分析,结果显示普氏原羚肠道微生物群落的组装过程相比藏原羚更偏向于同质选择过程(HoS)。对促进这一转变的微生物类群进行分析,发现在普氏原羚中贡献了同质选择,但在藏原羚中贡献了其他过程(如随机漂变、扩散限制、异质分散或异质选择)的ASVs主要隶属于颤螺旋菌科、coprostanoligenes group、克里斯滕森菌科、阿克曼氏菌科和拉克诺斯菌科。对这些ASVs进行功能预测及KEGG富集分析,结果表明,其主要与营养物质代谢、合成以及免疫调节密切相关,提示这些ASVs可能在宿主营养物质利用和免疫功能维持等方面发挥着重要作用。研究认为濒危等级较高的普氏原羚更依赖肠道微生物所提供的“生态系统服务”以应对环境的变化。这种依赖性可能源于濒危物种通常适应性和适应潜力较低,肠道微生物在其适应和应对环境变化中发挥了重要的补偿作用。本研究在揭示宿主濒危程度与肠道微生物依赖性的关系的同时,也为濒危物种保护和管理提供了新的视角和策略。
研究论文 Gut microbiota non-convergence and adaptations in sympatric Tibetan and Przewalski’s gazelles 发表在 Cell Press 旗下交叉学科期刊 iScience(中国科学院二区)。西北高原所博士研究生宋鹏飞为第一作者,张同作研究员为通讯作者。该研究得到了国家自然科学基金区域创新发展联合基金(U20A2012)等项目的支持。学科组依托中国科学院高原生物适应与进化重点实验室和青海省动物生态基因组学重点实验室。
论文链接:https://doi.org/10.1016/j.isci.2024.109117

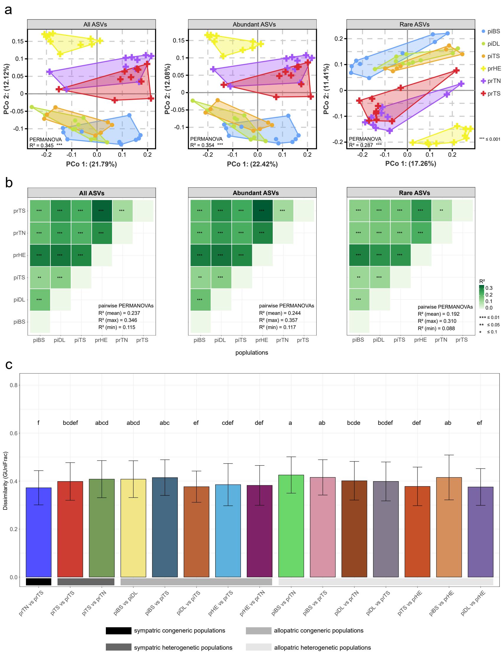
研究概要图

同域分布着的原羚种群相较于异域分布着的种群其肠道微生物未发现显著的趋同(a)基于GUniFrac距离的藏原羚和普氏原羚不同种群肠道微生物PCoA分析;(b)藏原羚和普氏原羚种群肠道微生物β-多样性组间差异热图;(c)藏原羚和普氏原羚同域、异域分布种群肠道微生物相异性条形图

藏原羚和普氏原羚肠道微生物不同系统发育分箱的生态学组装过程(a)及在普氏原羚肠道微生物中贡献了同质选择过程而在藏原羚中却贡献了其他生态学组装过程的ASVs集合所进行的KEGG富集分析(b)




