科研进展
科研人员在碎裂函数和强子化实验研究方面取得重要进展
近日,近代物理所夸克物质中心核子结构室在碎裂函数和强子化实验研究方面取得重要进展。该研究利用北京谱仪(BESIII)能量扫描数据,精确测量了带电pion和Kaon介子的单举产生微分截面,为解决量子色动力学低能区非微扰性质的研究难题提供了关键实验数据。相关研究成果于10月8日发表在《物理评论快报》(Phys. Rev. Lett. 135,151901(2025))上。此项工作由近代物理所赵宇翔研究员和沈晓民副研究员团队、上海交通大学高俊教授团队、华南师范大学邢宏喜研究员团队、中国科学技术大学鄢文标教授和周小蓉特任教授团队与郑州大学张亚腾研究员团队合作完成(单位按英文字母排序)。
标准模型的量子色动力学(QCD)是描述部分子(夸克和胶子)间强相互作用的理论,它的最大挑战来自于低能区的非微扰性质。由于色禁闭效应,实验上无法直接观测到带色荷的部分子,只能探测色中性的强子。碎裂函数描述了部分子的强子化过程,对其研究是理解强子产生机制的重要手段。正负电子对撞中单举强子的产生被认为是研究碎裂函数最有效的过程之一(如图1所示)。目前,在质心能量低于10 GeV的区域,能用于碎裂函数研究的高精度正负电子对撞实验数据极为有限。
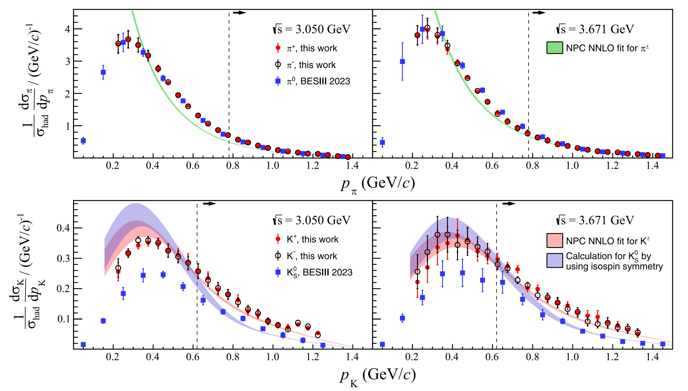
面对这一挑战,团队利用北京谱仪(BESIII)能量扫描数据,精确测量了带电pion和Kaon介子单举产生微分截面,最高精度达1%~2%。结合NPC合作组(Non-perturbative Physics Collaboration)的全局数据拟合研究,这一新的测量结果与基于次次领头阶(NNLO)精度的量子色动力学(QCD)理论分析相符合,尤其是大动量强子区域(如图2所示)。该研究成果为检验低能区QCD因子化定理及部分子碎裂过程中同位旋对称性的有效性提供了有力的实验支持,对深入理解强相互作用动力学具有重要意义。
该成果是BESIII实验合作组与NPC理论团队深度合作完成的研究论文。实验部分由近代物理所黄麟钦博士、赵宇翔研究员,中国科学技术大学刘卫民博士,德国Mainz大学王维平博士后(原中国科学技术大学博士后),郑州大学葛玲硕士(现为东南大学博士研究生)及张亚腾研究员基于BESIII实验合作完成。理论计算由近代物理所沈晓民副研究员(原上海交通大学博士后),上海交通大学高俊教授及华南师范大学邢宏喜研究员合作完成。
该研究工作得到了科技部、国家自然科学基金委、中国科学院和中国博士后科学基金会等部门的支持。
文章链接:https://journals.aps.org/prl/abstract/10.1103/5kxw-3mbw

图1:正负电子对撞过程研究强子碎裂函数示意图

图2:带电pion和Kaon介子单举产生微分截面结果
(夸克物质中心核子结构室 供稿)




