科研进展
西北高原所在高寒草地砾石化退化对生态系统多功能性的影响研究取得新进展
青藏高原是全球海拔最高、生态系统最脆弱的地区之一,其高寒草地约占高原面积的60%以上,在水源涵养、碳汇调节及生物多样性维持等方面发挥着重要生态功能。然而,近年来受气候变暖、冻融作用增强以及放牧、道路建设等人为活动叠加影响,部分高寒草地出现了表层砾石积聚、植被覆盖减少、土壤贫瘠化的“砾石化退化”现象。这一过程会改变草地的能量与物质循环格局,削弱其碳氮循环能力及生态系统服务功能,成为制约高原生态安全的突出问题。针对这一问题,中国科学院西北高原生物研究所在青藏高原典型高寒草地建立了不同砾石覆盖度梯度样地,系统研究了砾石化对植物群落结构、土壤性质及生态系统多功能性的影响机制,并揭示了其生态阈值特征。
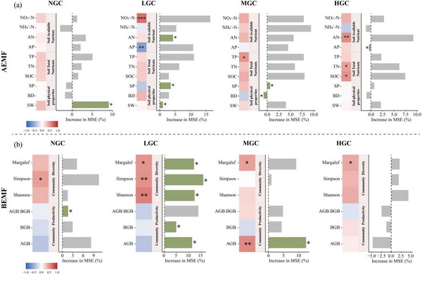
研究发现,随着砾石覆盖度的增加,草地植物物种丰富度、功能群组成及生物量显著下降,尤其是地下生物量的减少最为明显;土壤含水量、孔隙度及养分含量显著降低,而容重显著升高,导致生态系统整体功能衰退。砾石化不仅直接抑制植物生长,还通过削弱土壤养分供给间接降低生态系统多功能性。随机森林与结构方程模型分析进一步揭示,土壤养分和植物多样性是决定生态系统多功能性的关键调控因子。随砾石化程度加剧,地上功能指数(AEMF)和地下功能指数(BEMF)均显著下降,后者的响应更为敏感,当砾石覆盖度超过22%时,生态系统多功能性(EMF)出现明显突变性下降,表明该阈值可作为高寒草地退化的早期预警指标。研究指出,高寒草地砾石化退化过程会破坏植物-土壤耦合关系,导致生态功能的同步退化。
研究成果以 Alpine gravelization compromises ecosystem multifunctionality through vegetation loss and soil nutrient depletion 发表在国际期刊 Catena(中国科学院1区,IF = 6.3)。西北高原所博士研究生李珊为论文第一作者,周华坤研究员为通讯作者。本研究得到国家自然科学基金项目(32371684、U21A20186、U21A20185)和青海省中央引导地方科技发展专项(2025ZY024)的联合资助。
论文链接:https://doi.org/10.1016/j.catena.2025.109519

图1 不同砾石化水平下AEMF与BEMF的相关性及主要驱动因子重要性分析

砾石覆盖度与生态系统多功能性(AEMF、BEMF、EMF)的关系及其阈值特征




